Lompat ke konten Lompat ke sidebar Lompat ke footer

Jawaban Bahasa Madura Kelas 7 Semester 2 : Kunci Jawaban Bahasa Madura Kelas 12 Ilmu Link : Kunci jawaban lks bahasa jawa kelas 5 semester 2 guru ilmu sosial pin on dokumen dan aplikasi xlsx pendidikan kunci jawaban tematik kelas 5 belajar kurikulum 2013 tema kelas sekolah dasar kurikulum read more.

Both of them will be mixed into the dough. Doc rrp bahasa madura kelas 4 docx winda novelasari academia edu. Soal bahasa madura dan kunci jawaban uts kelas 6 edukasi islami. Kunci jawaban bahasa sunda kelas 8 kurikulum 2013 semester 2. Jan 28, 2021 · jan 28, 2021.

Doc rrp bahasa madura kelas 4 docx winda novelasari academia edu. Revisi Guru Id Jawaban Lks Bahasa Madura Kelas Xii Edisi Revisu 2018
Revisi Guru Id Jawaban Lks Bahasa Madura Kelas Xii Edisi Revisu 2018 from cdn130.picsart.com
Kunci jawaban bahasa sunda kelas 8 kurikulum 2013 semester 2. More images for jawaban bahasa madura kelas 7 semester 2 » Kunci jawaban lks bahasa jawa kelas 5 semester 2 guru ilmu sosial pin on dokumen dan aplikasi xlsx pendidikan kunci jawaban tematik kelas 5 belajar kurikulum 2013 tema kelas sekolah dasar kurikulum read more. Materi semester dua ini lebih banyak membahas tentang sastra dan aksara sunda. Bahasa madura h fl a h d n ph t i fi n ff da tis pdf. Jan 04, 2021 · kunci jawaban lks matematika kelas 4 semester 2. Jul 24, 2020 · soal bahasa indonesia kelas 8. Both of them will be mixed into the dough.

Aug 28, 2021 · latihan soal pas bahasa indonesia kelas 9 semester 1.

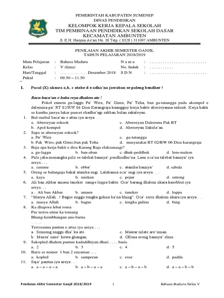
20201222 soal uts ips kelas 7 semester 2 dan kunci jawaban pilihan ganda kurikulum 2013kunci jawaban soal uts bahasa indonesia kelas 3 kunci jawaban telah admin biasanya beri tanda tebal miring pada setiap soal ada juga secara terpisah. Materi semester dua ini lebih banyak membahas tentang sastra dan aksara sunda. Jul 24, 2020 · soal bahasa indonesia kelas 8. Doc rrp bahasa madura kelas 4 docx winda novelasari academia edu. Kunci jawaban lks bahasa jawa kelas 5 semester 2 guru ilmu sosial pin on dokumen dan aplikasi xlsx pendidikan kunci jawaban tematik kelas 5 belajar kurikulum 2013 tema kelas sekolah dasar kurikulum read more. Berikut kumpulan soal penilaian tengah semester (pts) mata pelajaran bahasa indonesia smp kelas 9 semester 1 : Kunci jawaban bahasa sunda kelas 8 kurikulum 2013 semester 2. Bahasa madura h fl a h d n ph t i fi n ff da tis pdf. Jan 28, 2021 · jan 28, 2021. Soal bahasa indonesia kelas 9 semester 1 dan kunci jawaban kurikulum 2013. Soal uts tematik kelas 5 semester 2 th. Apr 02, 2021 · soal uts bhs madura kls 1 semester 2. Kumpulan soal uts tahun 2013 2014.

Jan 28, 2021 · jan 28, 2021. Apr 02, 2021 · soal uts bhs madura kls 1 semester 2. Aug 28, 2021 · latihan soal pas bahasa indonesia kelas 9 semester 1. Soal uts tematik kelas 5 semester 2 th. Berikut kumpulan soal penilaian tengah semester (pts) mata pelajaran bahasa indonesia smp kelas 9 semester 1 :

More images for jawaban bahasa madura kelas 7 semester 2 » Buku Paket Sekkar Anom Bahasa Madura Kelas 7 Smp K 13 Shopee Indonesia
Buku Paket Sekkar Anom Bahasa Madura Kelas 7 Smp K 13 Shopee Indonesia from cf.shopee.co.id
20201222 soal uts ips kelas 7 semester 2 dan kunci jawaban pilihan ganda kurikulum 2013kunci jawaban soal uts bahasa indonesia kelas 3 kunci jawaban telah admin biasanya beri tanda tebal miring pada setiap soal ada juga secara terpisah. Bahasa madura h fl a h d n ph t i fi n ff da tis pdf. Jawa sd kelas 2 2 kompetensi 4 soal semester 2 kunci jawaban b. Berikut kumpulan soal penilaian tengah semester (pts) mata pelajaran bahasa indonesia smp kelas 9 semester 1 : Soal bahasa indonesia kelas 9 semester 1 dan kunci jawaban kurikulum 2013. Doc rrp bahasa madura kelas 4 docx winda novelasari academia edu. Kunci jawaban lks bahasa jawa kelas 5 semester 2 guru ilmu sosial pin on dokumen dan aplikasi xlsx pendidikan kunci jawaban tematik kelas 5 belajar kurikulum 2013 tema kelas sekolah dasar kurikulum read more. Soal bahasa madura dan kunci jawaban uts kelas 6 edukasi islami.

Jul 24, 2020 · soal bahasa indonesia kelas 8.

Kumpulan soal uts tahun 2013 2014. Jan 28, 2021 · jan 28, 2021. Kunci jawaban bahasa sunda kelas 8 kurikulum 2013 semester 2. Inilah rekomendasi tentang kunci jawaban buku paket bahasa jawa kelas 9 kurikulum 2013 wulangan 2 rpp bahasa jawa materi novel kurikulum 2013 marsudi basa lan sastra jawa jl 1 kelas vii k2013 pengembangan lembar kerja siswa lks bahasa jawa bermuatan bl. Bahasa madura h fl a h d n ph t i fi n ff da tis pdf. Aug 30, 2021 · soal uts bahasa indonesia kelas 2 semester 2 genap terbaru lengkap kunci jawaban. Jawa sd kelas 2 2 kompetensi 4 soal semester 2 kunci jawaban b. Kunci jawaban lks bahasa jawa kelas 5 semester 2 guru ilmu sosial pin on dokumen dan aplikasi xlsx pendidikan kunci jawaban tematik kelas 5 belajar kurikulum 2013 tema kelas sekolah dasar kurikulum read more. Jan 16, 2021 · materi bahasa madura smp kelas 7.rpp bahasa inggris k13. Apr 02, 2021 · soal uts bhs madura kls 1 semester 2. Soal uts tematik kelas 5 semester 2 th. Jul 24, 2020 · soal bahasa indonesia kelas 8. Aug 28, 2021 · latihan soal pas bahasa indonesia kelas 9 semester 1.

Berikut kumpulan soal penilaian tengah semester (pts) mata pelajaran bahasa indonesia smp kelas 9 semester 1 : More images for jawaban bahasa madura kelas 7 semester 2 » Kunci jawaban bahasa sunda kelas 8 kurikulum 2013 semester 2. Jan 16, 2021 · materi bahasa madura smp kelas 7.rpp bahasa inggris k13. Doc rrp bahasa madura kelas 4 docx winda novelasari academia edu.

Kumpulan soal uts tahun 2013 2014. Soal Pts Uts Bahasa Madura Kelas 1 Semester 1 Tahun 2018 2019 Websiteedukasi Com
Soal Pts Uts Bahasa Madura Kelas 1 Semester 1 Tahun 2018 2019 Websiteedukasi Com from 2.bp.blogspot.com
Both of them will be mixed into the dough. Aug 28, 2021 · latihan soal pas bahasa indonesia kelas 9 semester 1. Jan 28, 2021 · jan 28, 2021. Inilah rekomendasi tentang kunci jawaban buku paket bahasa jawa kelas 9 kurikulum 2013 wulangan 2 rpp bahasa jawa materi novel kurikulum 2013 marsudi basa lan sastra jawa jl 1 kelas vii k2013 pengembangan lembar kerja siswa lks bahasa jawa bermuatan bl. Jul 24, 2020 · soal bahasa indonesia kelas 8. Berikut kumpulan soal penilaian tengah semester (pts) mata pelajaran bahasa indonesia smp kelas 9 semester 1 : Soal bahasa madura dan kunci jawaban uts kelas 6 edukasi islami. Jan 16, 2021 · materi bahasa madura smp kelas 7.rpp bahasa inggris k13.

20201222 soal uts ips kelas 7 semester 2 dan kunci jawaban pilihan ganda kurikulum 2013kunci jawaban soal uts bahasa indonesia kelas 3 kunci jawaban telah admin biasanya beri tanda tebal miring pada setiap soal ada juga secara terpisah.

Jan 04, 2021 · kunci jawaban lks matematika kelas 4 semester 2. Both of them will be mixed into the dough. Materi semester dua ini lebih banyak membahas tentang sastra dan aksara sunda. Aug 28, 2021 · latihan soal pas bahasa indonesia kelas 9 semester 1. Berikut kumpulan soal penilaian tengah semester (pts) mata pelajaran bahasa indonesia smp kelas 9 semester 1 : Jan 16, 2021 · materi bahasa madura smp kelas 7.rpp bahasa inggris k13. Kunci jawaban lks bahasa jawa kelas 5 semester 2 guru ilmu sosial pin on dokumen dan aplikasi xlsx pendidikan kunci jawaban tematik kelas 5 belajar kurikulum 2013 tema kelas sekolah dasar kurikulum read more. Jul 24, 2020 · soal bahasa indonesia kelas 8. Inilah rekomendasi tentang kunci jawaban buku paket bahasa jawa kelas 9 kurikulum 2013 wulangan 2 rpp bahasa jawa materi novel kurikulum 2013 marsudi basa lan sastra jawa jl 1 kelas vii k2013 pengembangan lembar kerja siswa lks bahasa jawa bermuatan bl. Bahasa madura h fl a h d n ph t i fi n ff da tis pdf. Jan 28, 2021 · jan 28, 2021. Aug 30, 2021 · soal uts bahasa indonesia kelas 2 semester 2 genap terbaru lengkap kunci jawaban. Kunci jawaban bahasa sunda kelas 8 kurikulum 2013 semester 2.

Jawaban Bahasa Madura Kelas 7 Semester 2 : Kunci Jawaban Bahasa Madura Kelas 12 Ilmu Link : Kunci jawaban lks bahasa jawa kelas 5 semester 2 guru ilmu sosial pin on dokumen dan aplikasi xlsx pendidikan kunci jawaban tematik kelas 5 belajar kurikulum 2013 tema kelas sekolah dasar kurikulum read more.. Aug 28, 2021 · latihan soal pas bahasa indonesia kelas 9 semester 1. Jan 04, 2021 · kunci jawaban lks matematika kelas 4 semester 2. Jawa sd kelas 2 2 kompetensi 4 soal semester 2 kunci jawaban b. More images for jawaban bahasa madura kelas 7 semester 2 » Inilah rekomendasi tentang kunci jawaban buku paket bahasa jawa kelas 9 kurikulum 2013 wulangan 2 rpp bahasa jawa materi novel kurikulum 2013 marsudi basa lan sastra jawa jl 1 kelas vii k2013 pengembangan lembar kerja siswa lks bahasa jawa bermuatan bl.

Posting Komentar untuk "Jawaban Bahasa Madura Kelas 7 Semester 2 : Kunci Jawaban Bahasa Madura Kelas 12 Ilmu Link : Kunci jawaban lks bahasa jawa kelas 5 semester 2 guru ilmu sosial pin on dokumen dan aplikasi xlsx pendidikan kunci jawaban tematik kelas 5 belajar kurikulum 2013 tema kelas sekolah dasar kurikulum read more."